

Sinotech组织样本冻存试剂盒主要应用于对新鲜组织样本(人来源的临床肿瘤样本或移植物,小鼠来源的组织器官样本等)进行迅速妥善地冻存,尽可能维持组织样本原有的组织结构和生物活性。为整合不同批次获得样本的集中实验以及样本远距离运输提供时间、空间上的便利。本产品采用了优化配比的冻存保护液配方,含有以DMSO等多种对生物组织样本有特殊保护功能的冻存保护剂成分,既可快速均匀地渗透进入组织样本,保持组织样本中细胞结构以及核酸、蛋白质等亚细胞组分的稳定不变,也尽可能地减少组织样本在降温过程中受到不规则冰晶带来的损伤。为后续的下游实验(组织酶解消化为单细胞悬液、组织提取总RNA、组织提取总蛋白等)的顺利进行提供实验保障。
根据实验经验,经妥善地冻存复苏后的组织样本,进行酶解消化获得的单细胞悬液,其细胞活力与细胞数目等参数均与用新鲜组织样本获得的单细胞悬液相近。本产品广泛适用于人或小鼠来源的多种组织器官样本的冻存保护,例如肝癌组织、肺癌组织、乳腺癌组织、卵巢癌组织以及脑胶质瘤组织等等。
根据实验经验,经妥善地冻存复苏后的组织样本,进行酶解消化获得的单细胞悬液,其细胞活力与细胞数目等参数均与用新鲜组织样本获得的单细胞悬液相近。该试剂盒可广泛适用于人或小鼠的多种组织器官样本的冻存保护,例如肝癌组织、肺癌组织、乳腺癌组织、卵巢癌组织以及脑胶质瘤组织等。

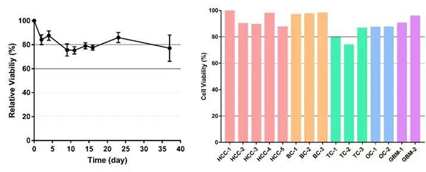
Solo™ 组织酶解试剂盒和Sinotech™组织样本冻存试剂盒效果测评展示。左图:PBMCs细胞悬液冻存活力曲线;右图:多癌种组织样品冻存酶解活力统计,HCC:Hepatocellular Carcinoma,BC:Breast Cancer,TC:Thyroid Cancer,OC:Ovarian Cancer,GBM:Glioblastoma multiforme。
上图为Solo™ 组织酶解试剂盒和Sinotech™组织样本冻存试剂盒的应用效果测评结果。新鲜提取的人外周血单个核细胞(PBMCs),经Sinotech™冻存试剂盒保存于液氮中。细胞复苏后,以BD Rhapsody™平台利用荧光染料Calcein AM及Draq7进行细胞活力测定,细胞活性可在液氮中保持稳定4~5周(如左图所示)。利用Sinotech™冻存试剂盒保存运输多组织来源的肿瘤组织样本,以Solo™组织酶解试剂盒消化酶解得到的单细胞悬液,以BD Rhapsody™平台利用荧光染料Calcein AM及Draq7进行细胞活力测定,细胞活性可达80%以上(如右图所示)。
专注组学 精准定位 用心服务 帮您实现科研价值
——